Главная
»
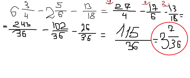
Пять восьмых разделить на девять десятых
Пять восьмых разделить на девять десятых. Пять восьмых разделить на девять десятых
« Предыдущее
17 / 38
Следующее »