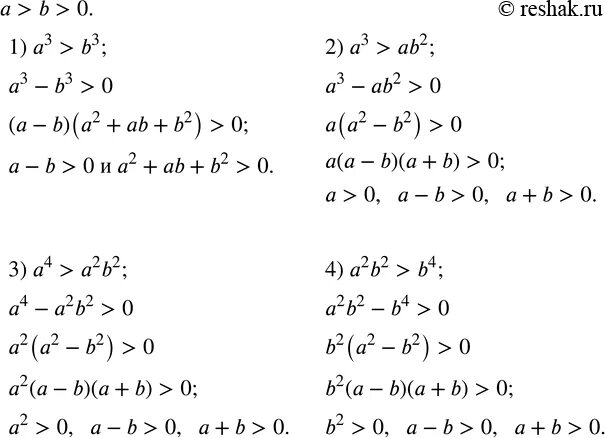
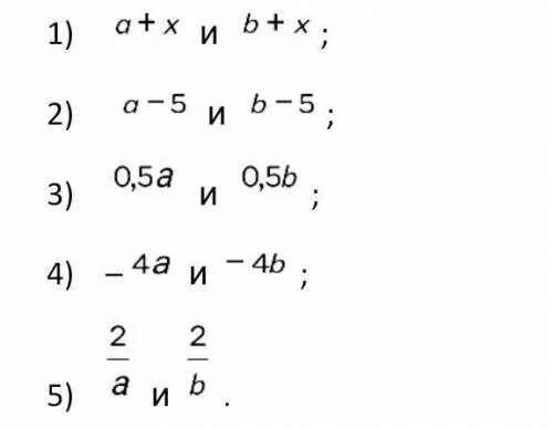
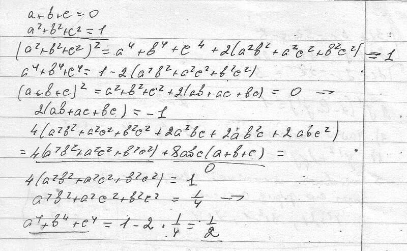
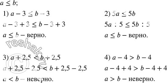
Пусть a 0 b 0