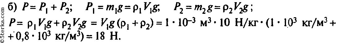
Прямоугольный сосуд вместимостью 2 литра наполовину