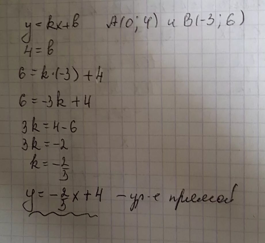
Прямая y 7x b проходит через точку