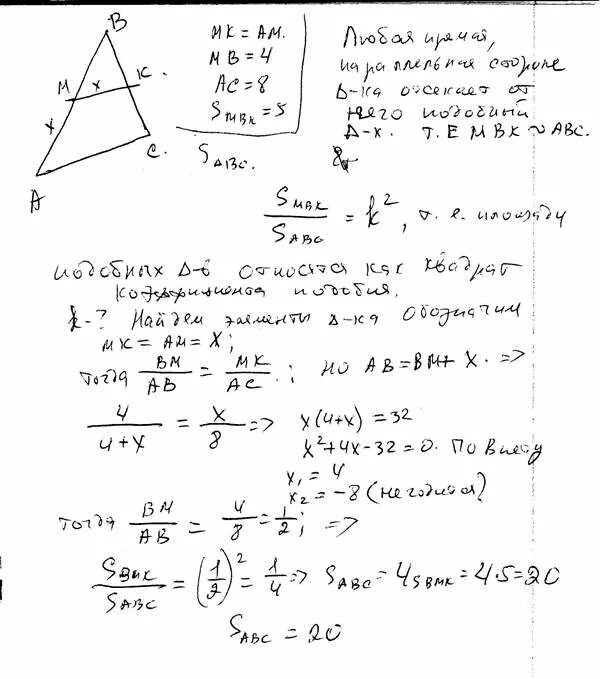
Прямая параллельная стороне ас 44 24 66