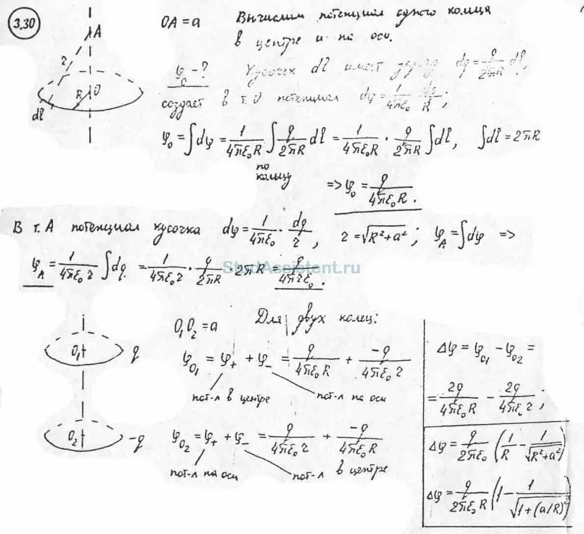
Проволочное кольцо радиусом r