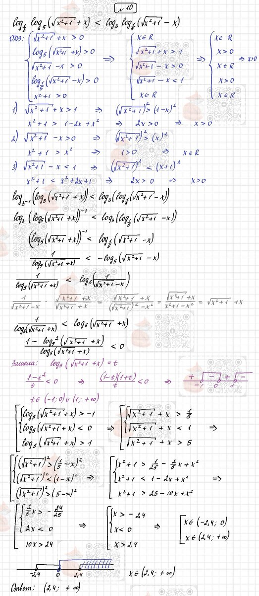
Проверочная 10 класс алгебра