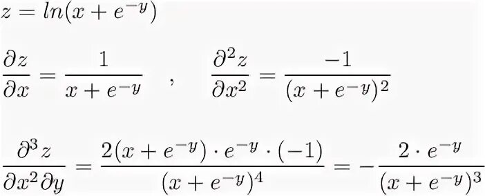
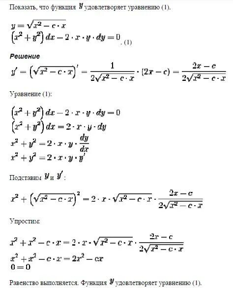
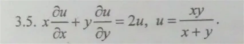
Проверить удовлетворяет ли указанному уравнению функция u