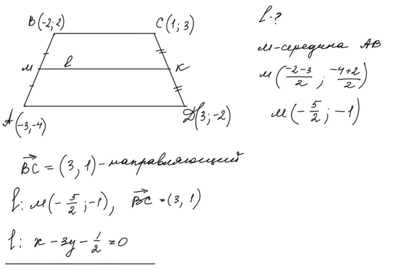
Проверить что четыре точки служат вершинами трапеции