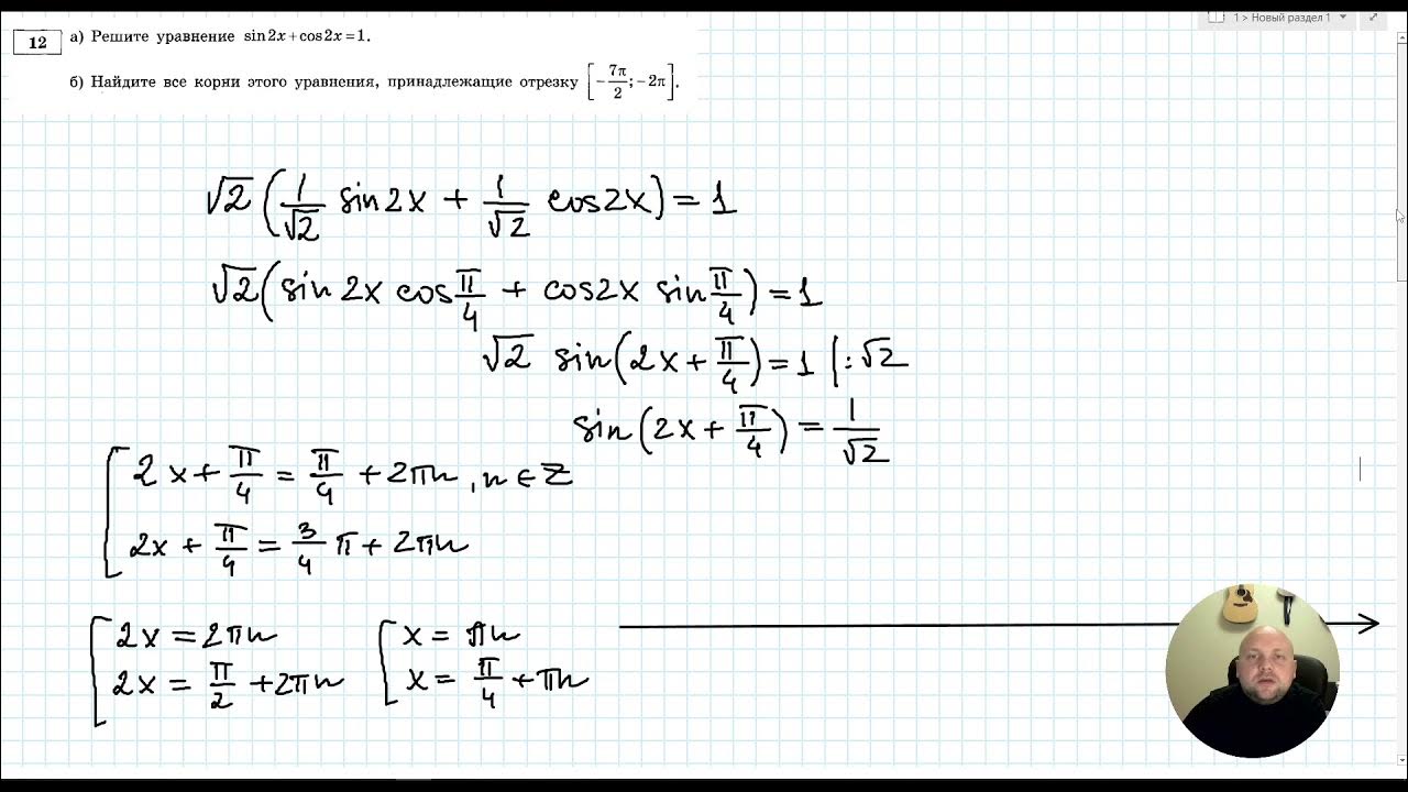
Прототипы 12 егэ математика профиль