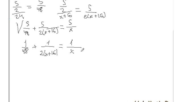
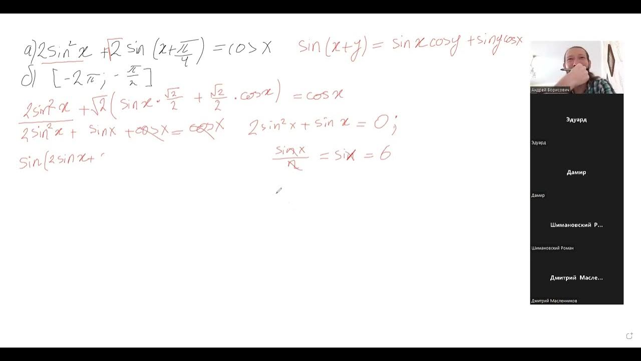
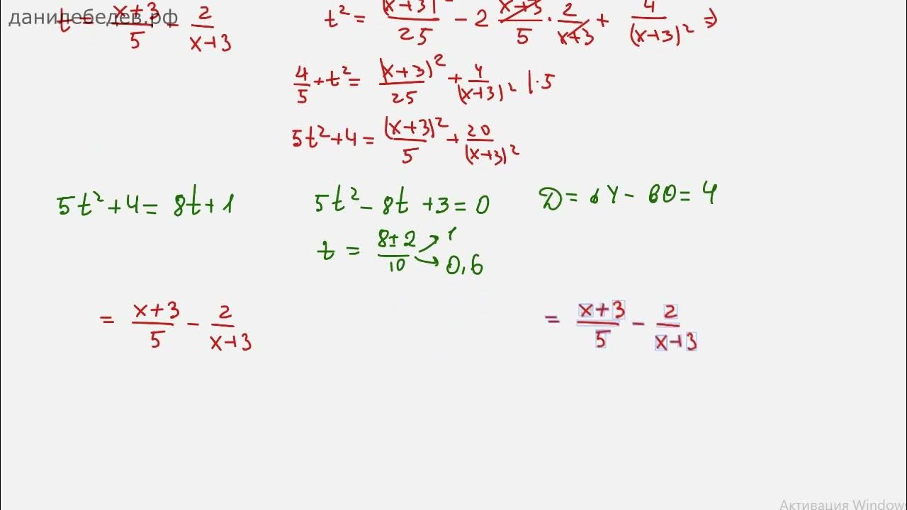
Прототип 12 задание егэ