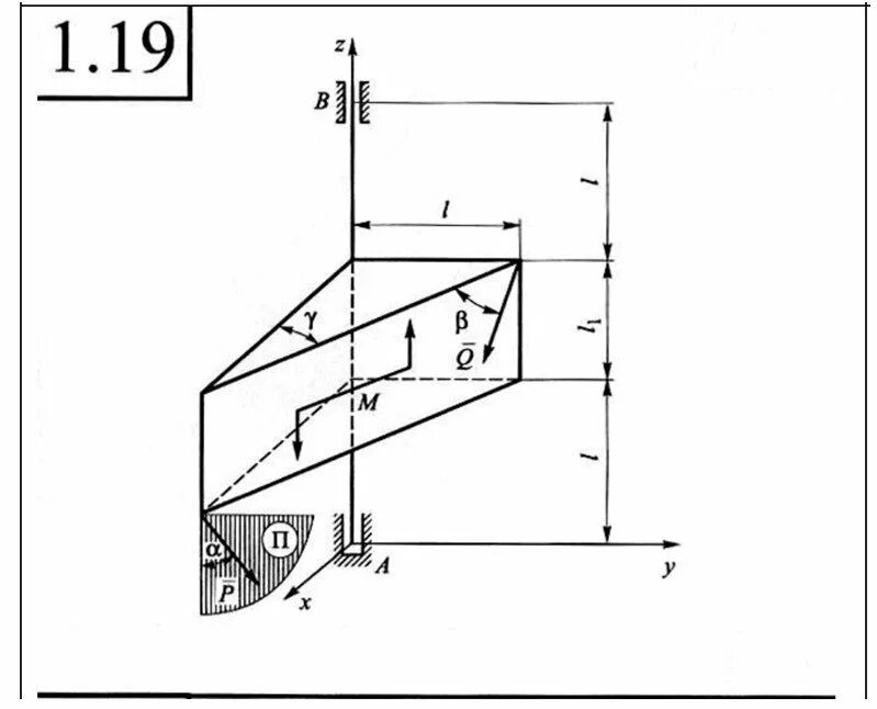
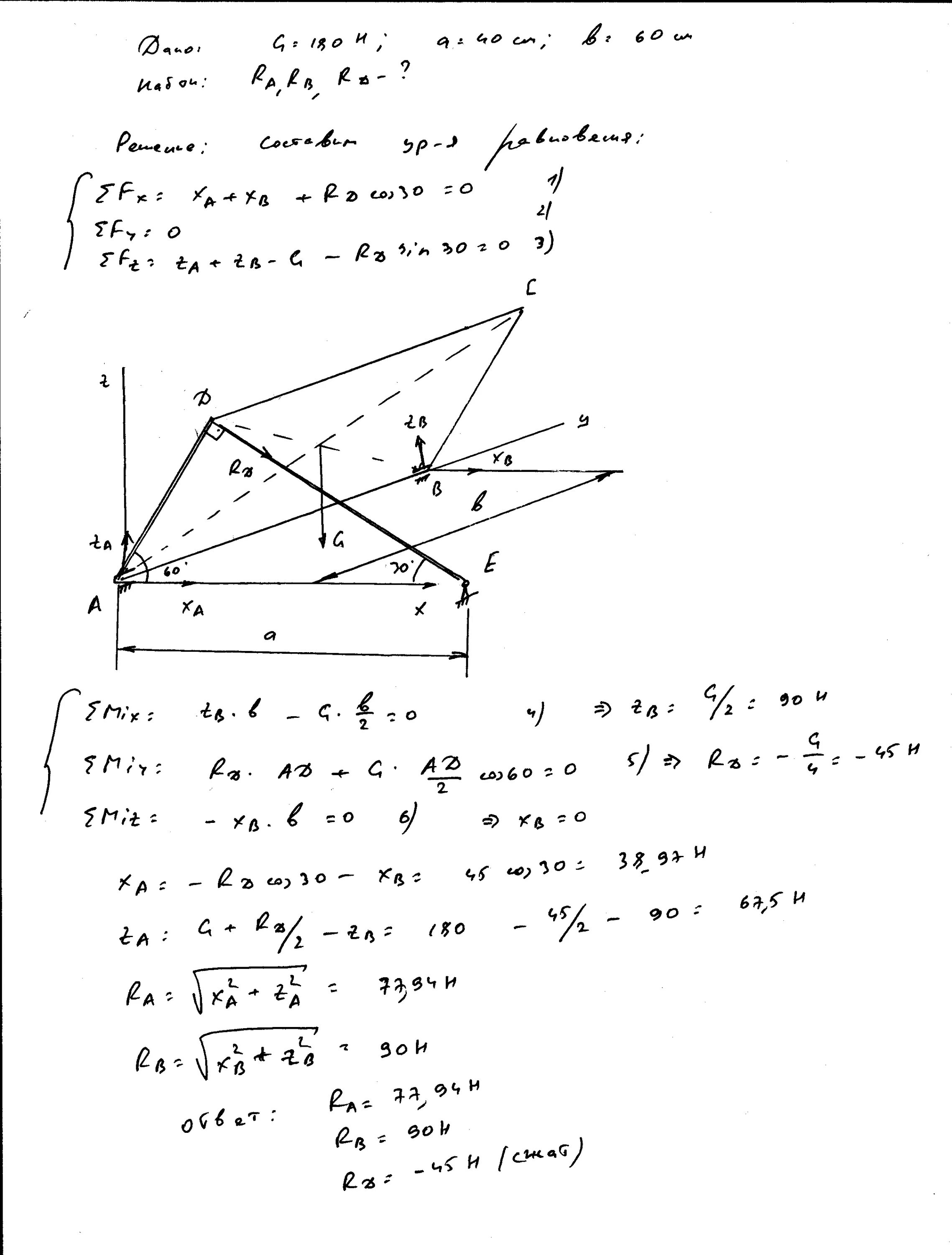
Пространственная статика