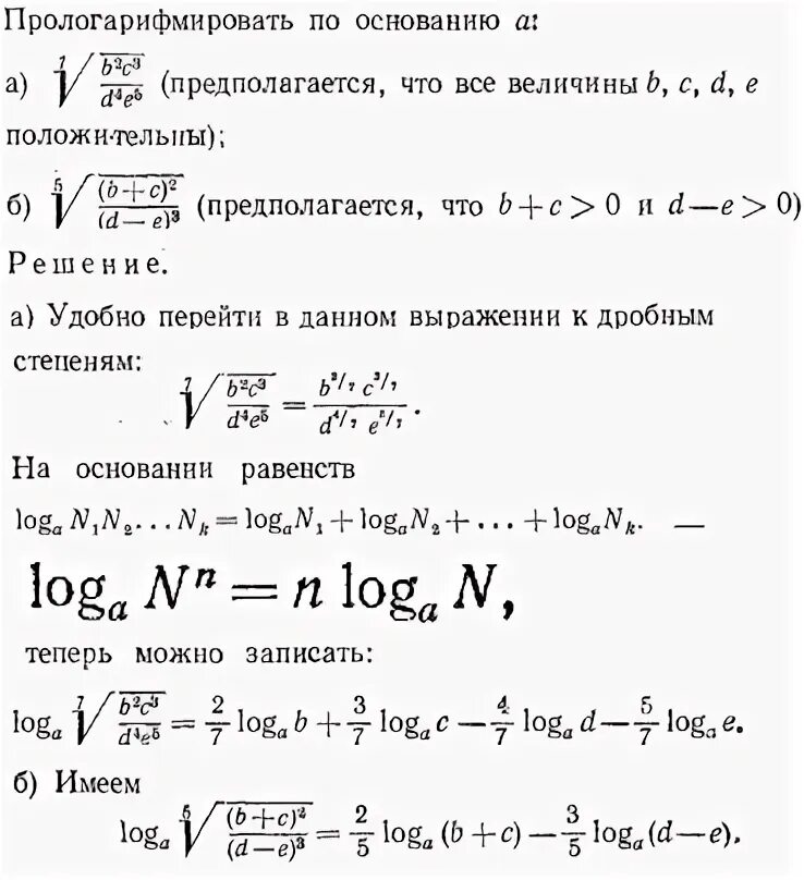
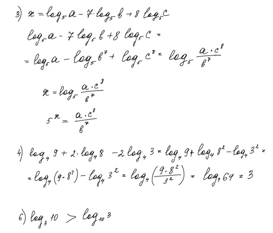
Прологарифмируйте по основанию 5