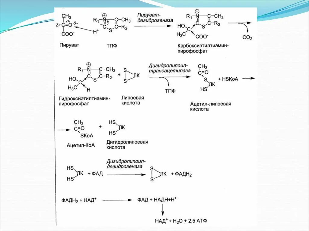
Происходит окисление пвк