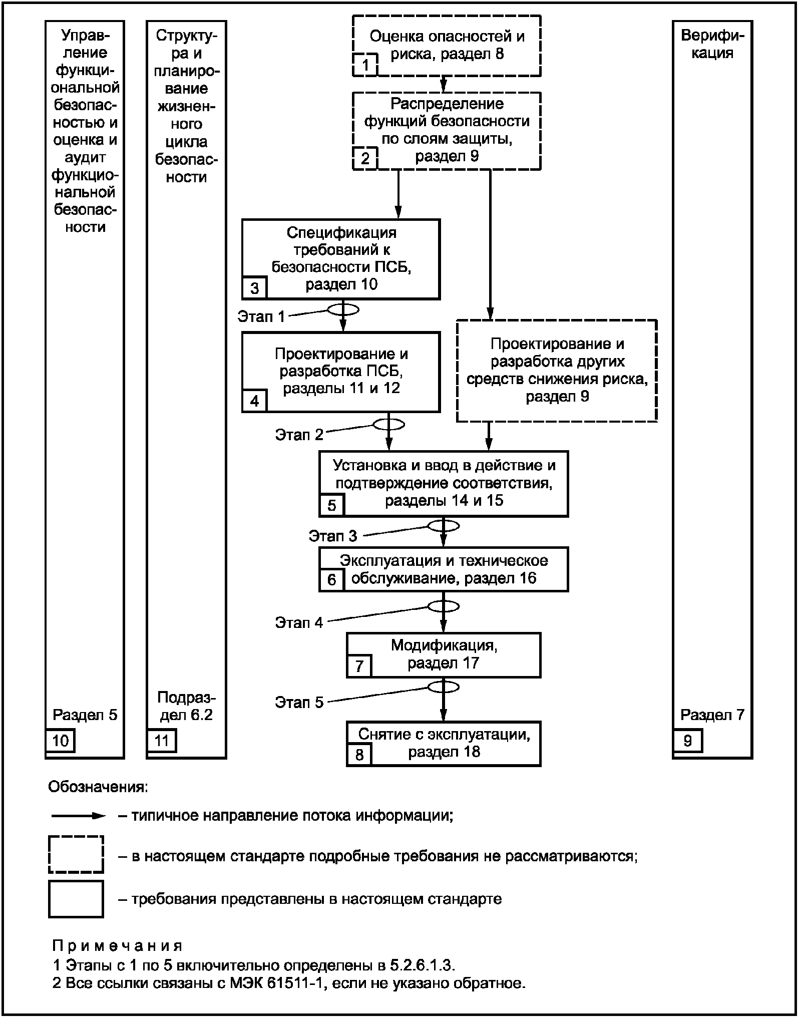
Проиллюстрируйте каждый пункт таблицы примерами