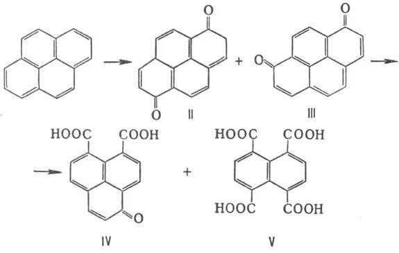
Программу пирен