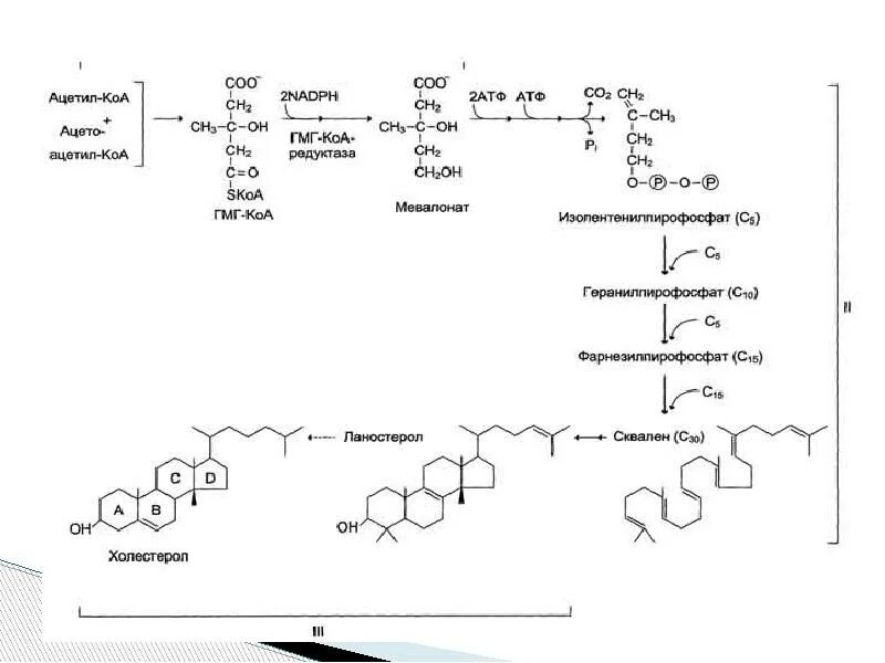
Программа биохимия