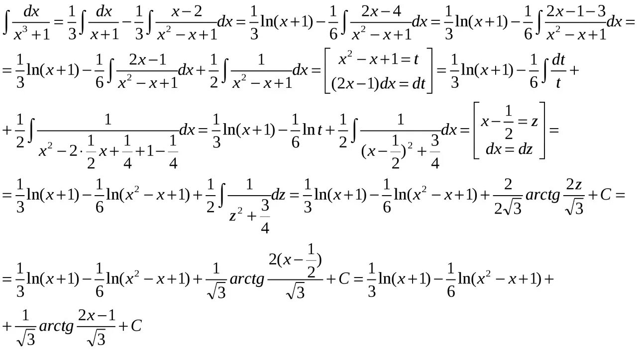
Примеры решения заданий