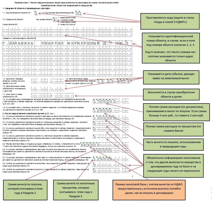
Пример заполнения имущественных налоговых вычетов