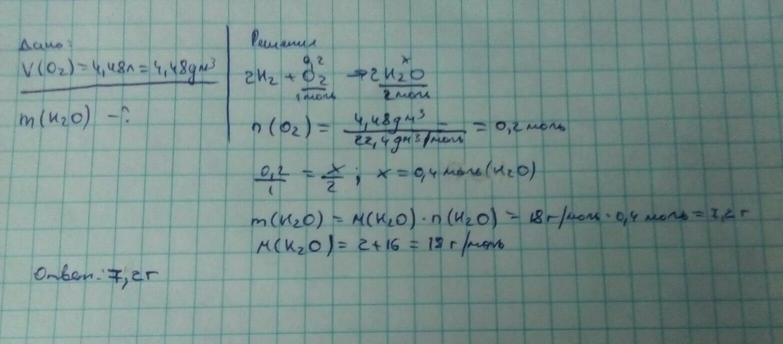
При взаимодействии водорода с кислородом образуется вода