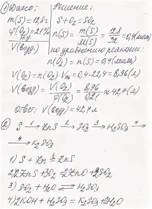
При полном сгорании 3 г