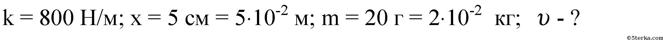
При подготовке игрушечного пистолета к выстрелу