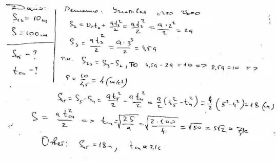
При остановке автобус за последнюю секунду проехал