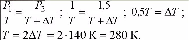
При какой температуре находился газ если