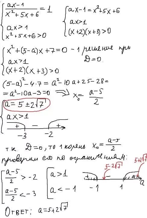
При каких значениях a уравнение ax