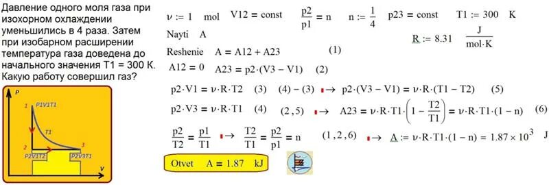
При изотермическом расширении газа его давление уменьшается