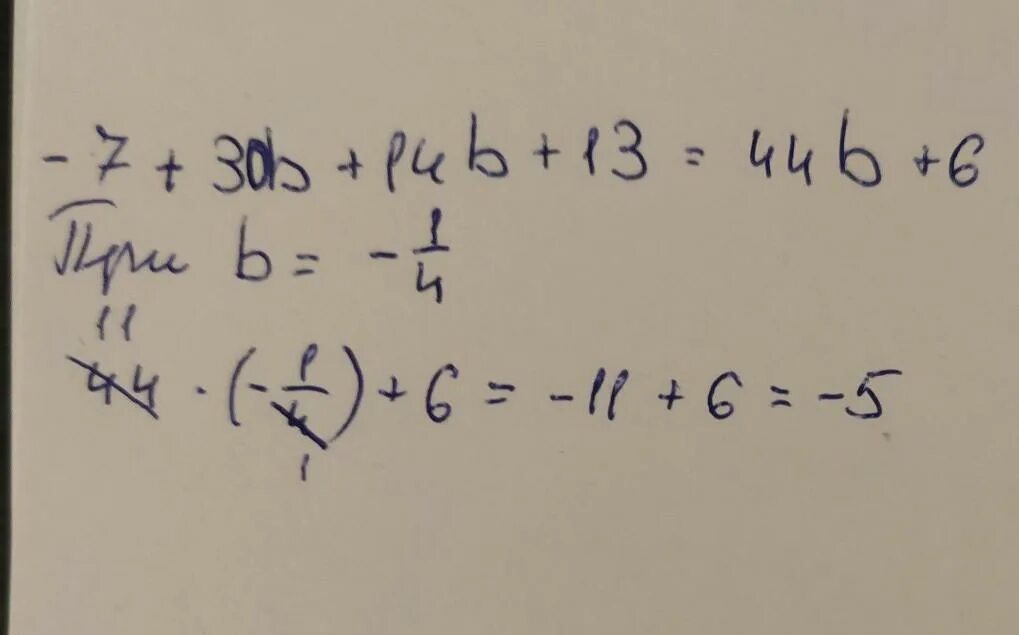
При b 14 получим