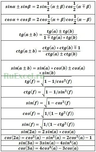
Преобразуйте выражение tg a cos a