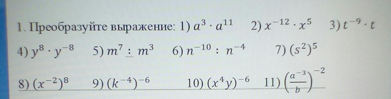
Преобразуйте выражение 3х 1 2