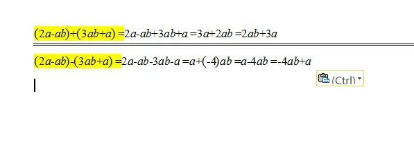
Преобразуйте в многочлен 2a 3 2а 3