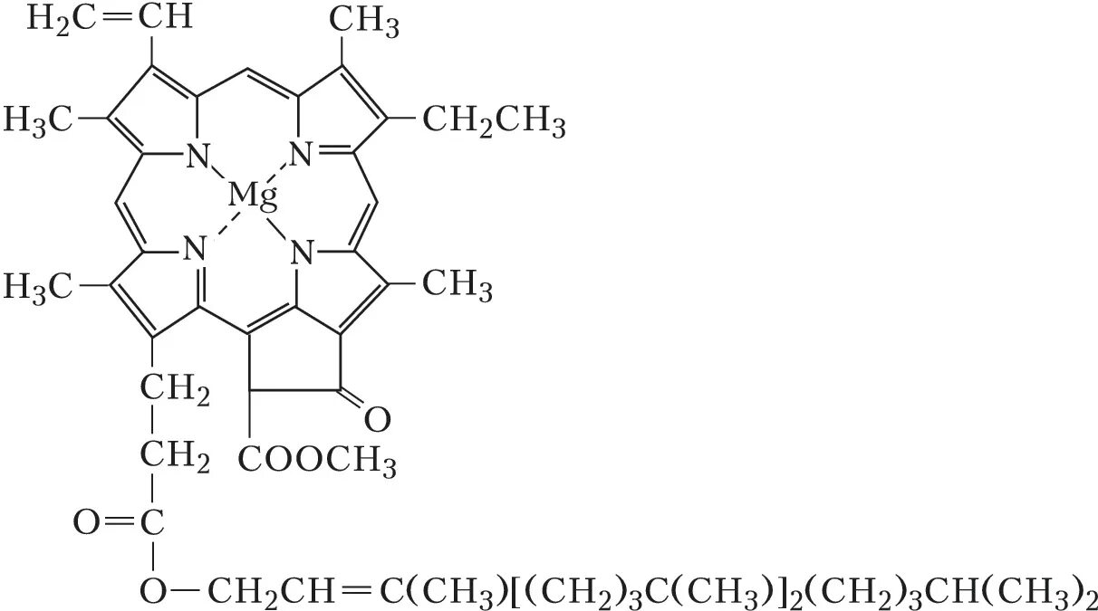
Преобладает пигмент хлорофилл