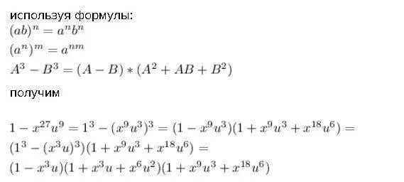
Представьте произведение a 1 b 1