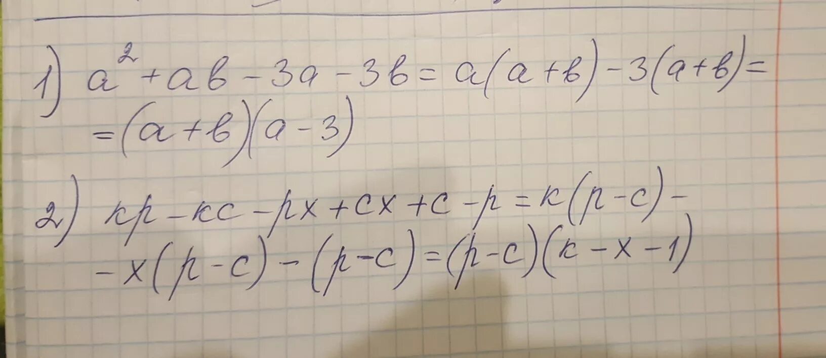
Представить в виде многочлена ab