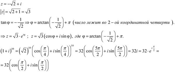
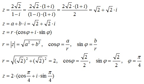
Представить в тригонометрической форме 2 i