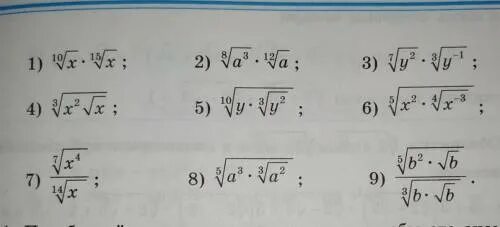
Представь выражение в виде степени с показателем