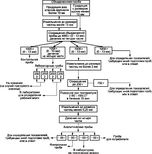
Правила отбора проб для лабораторных исследований