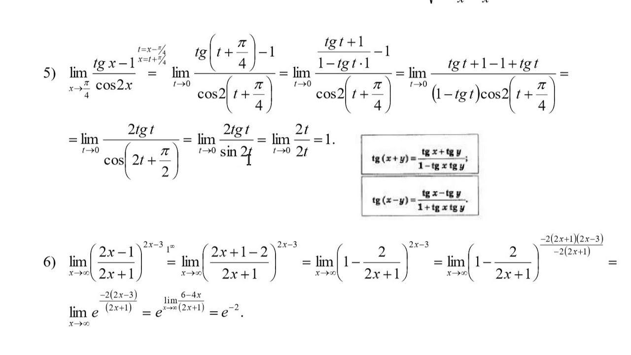
Практическая работа предел функции