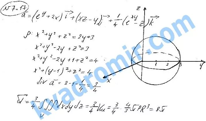
Поток поля через сферу