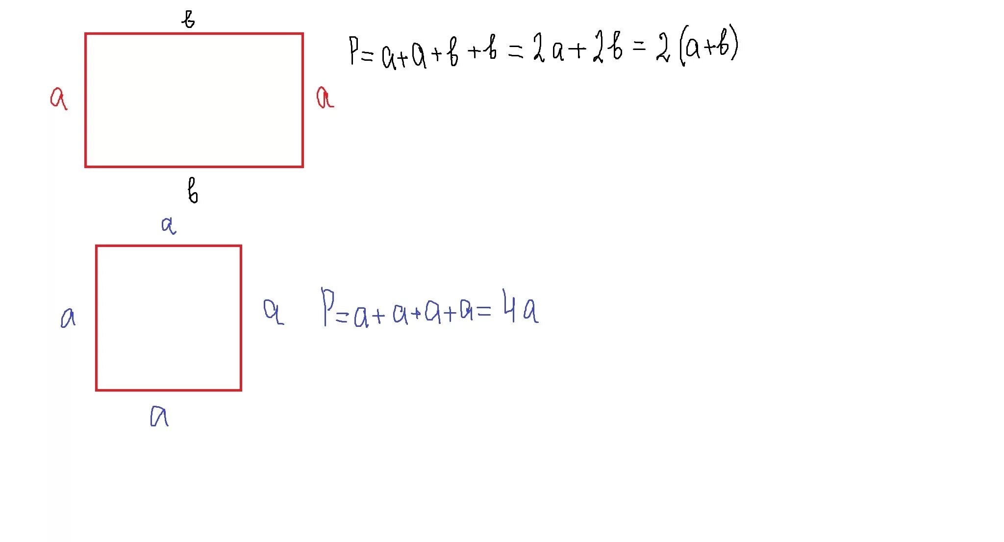
Построй прямоугольник у которого периметр равен 10