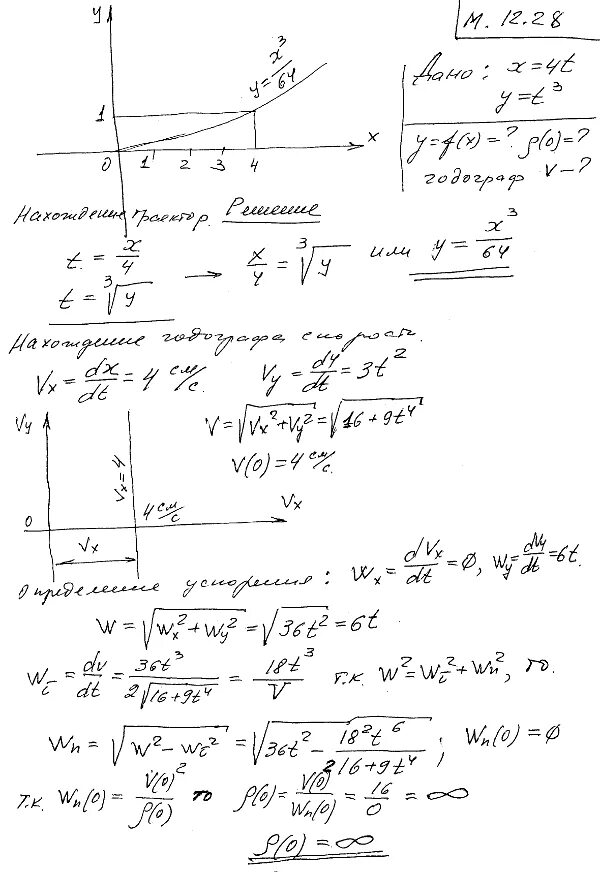
Построить траекторию движения точки