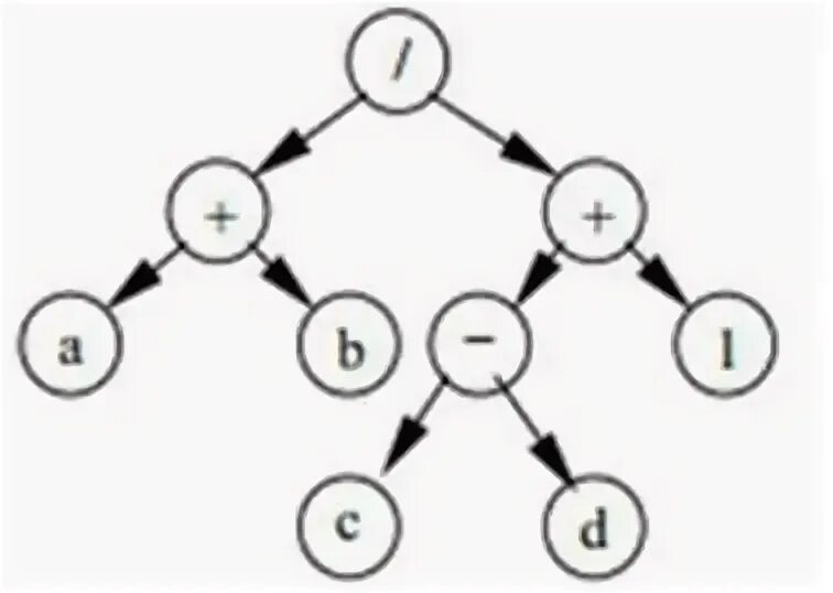
Построение дерева зависимостей