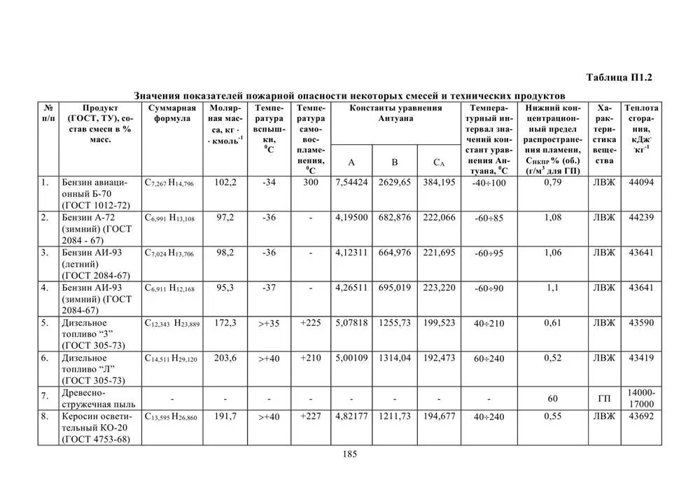
Пособие по определению величин пожарного риска