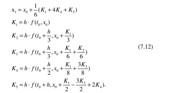
Порядок точности рунге кутта