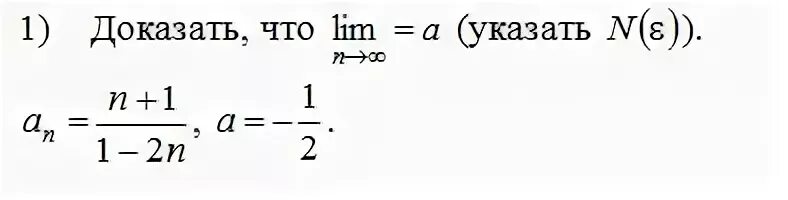
Пользуясь тем что 1 4 2