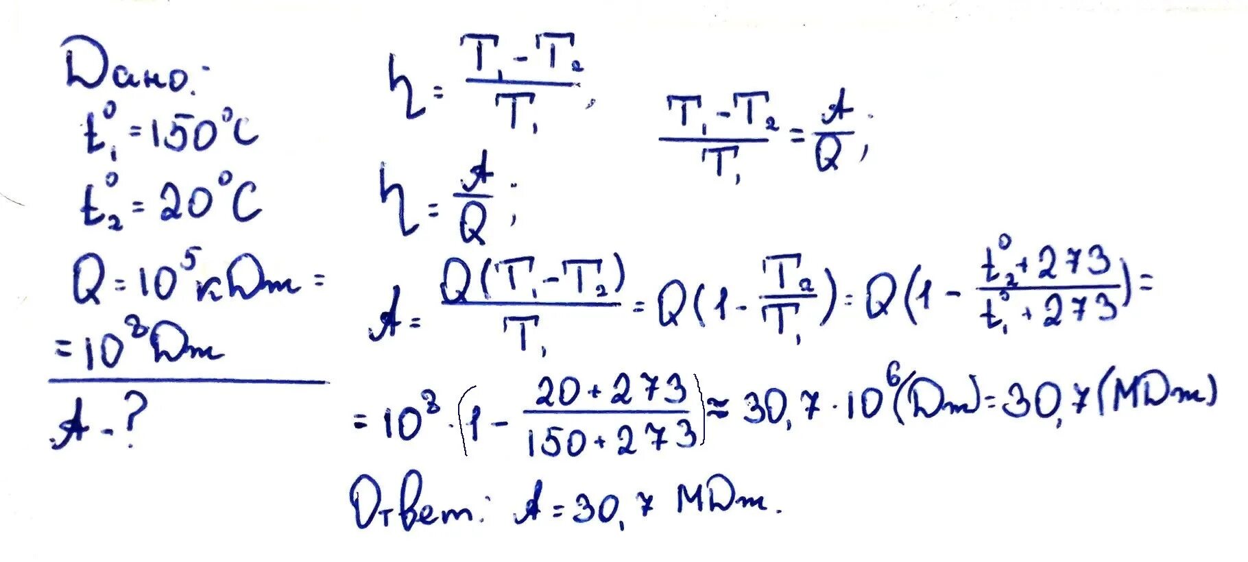
Получив от нагревателя 5 кдж теплоты