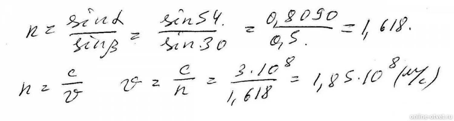
Показатель преломления слюды