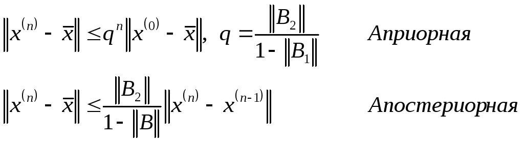
Погрешность итерации