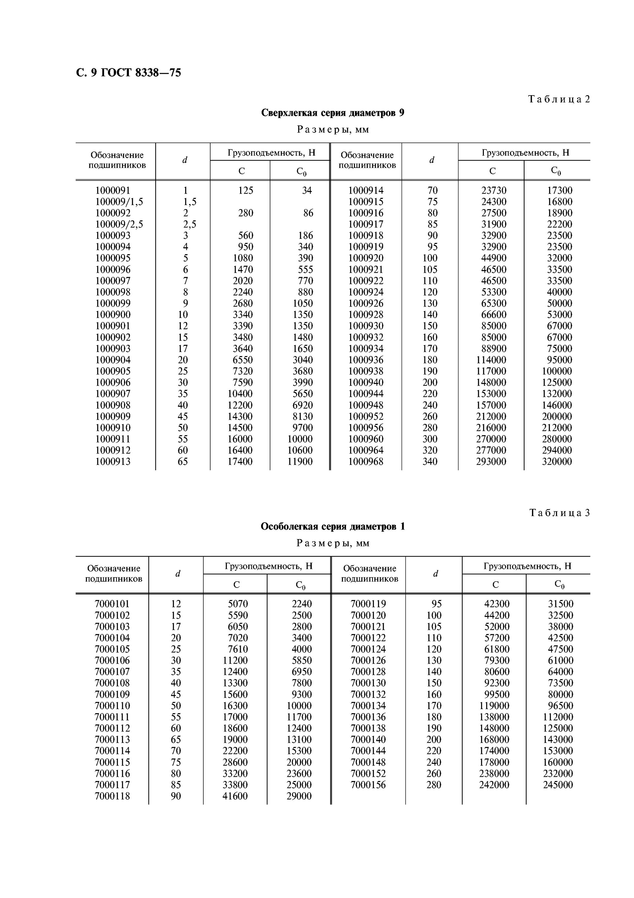
Подшипников таблица размеров по диаметрам шариковые