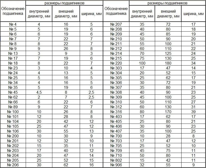
Подшипник закрытый шариковый размеры таблица