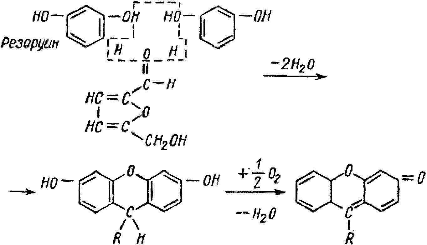
Подлинности на глюкозу выполняется с реактивом